|
|
|
O形密封圈和密封圈槽的选配及应用 |
|
|
|
用O形密封圈(以下简称密封圈)密封是最常用的一种密封方式,然而至关重要的是如何正确地选择密封圈和设计密封圈槽尺寸。常规的方法是将密封圈套在宝塔上用游标卡尺测量外径,再确定其相应尺寸。这种方法的弊端是:(1)密封圈是弹性体,外径测量不准确;(2)在设计新工具时,往往没有现成的密封圈,难以确定尺寸,其过盈量往往掌握不准。过盈量太大时密封圈易被剪切损坏,太小时又容易失封。针对这种状况,笔者提出一种选配密封圈的理论计算方法(指外密封圈),以供参考、讨论。 |
|
|
|
|
|
|
|
密封圈的密封机理 |
|
|
|
密封圈密封属于挤压弹性体密封,是靠密封环预先被挤压由弹性变形产生预紧力,同时工作介质压力也挤压密封环,使之产生自紧力。也就是说,挤压弹性体密封属于自紧式密封。 |
|
|
|
密封圈在介质压力p1作用下,其受力状况如图1所示,产生的接触压力为 |
|
|
|
pc=pco+Δpc (1) |
|
|
|
式中 pc——介质压力下的总接触压力,MPa; |
|
|
|
pco——密封圈初始压力,称之为预接触压力,MPa; |
|
|
|
Δpc——介质压力经密封圈传递给接触面的接触压力,称为介质作用接触压力,Δpc=κp1,MPa,其中κ为侧压系数,κ=υ/(1-υ),对于橡胶密封件κ≈0.9~0.985;υ为密封圈材料的泊松比,对于橡胶密封件,υ=0.48~0.496。 |
|
|
|
 |
|
|
|
图1 密封圈接触压力分布 |
|
|
|
要保持密封,必须保证pc>p1,而Δpc永远小于p1,故应保持足够的预接触压力pco,即密封圈要有足够的预压缩率,才能保证密封。但如果预压缩率太大,又会影响密封圈的工作寿命,因此密封圈和密封圈槽尺寸的合理匹配是延长密封圈无泄漏密封寿命的必要保证。 |
|
|
|
|
|
|
|
密封圈及密封圈槽的选配方法 |
|
|
|
内密封圈的选配比较简单,不再赘述,这里只介绍一种外密封圈的选配方法。 |
|
|
|
假定孔、轴直径分别为D、d,所选密封圈为D0×d0,问题是如何确定密封圈槽的底径D1,如图2所示。 |
|
|
|
 |
|
|
|
图2 密封圈及密封圈槽尺寸 |
|
|
|
密封圈被套在密封圈槽上之后,一般都有一定的拉伸量,其断面直径d0变小了,假定变为d1,根据体积不变原理,则密封圈安装前后的体积相等,即 |
|
|
|
 |
(2) |
|
|
|
式中 D0——密封圈外径,mm; |
|
|
|
d0——密封圈断面直径,mm; |
|
|
|
D——孔直径,mm; |
|
|
|
δ——密封圈过盈量,mm; |
|
|
|
d1——拉伸后的密封圈断面直径,mm。 |
|
|
|
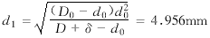
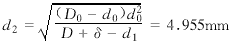
式(2)中,δ值可根据D值从表1中选取,D0、d0为已知值,则可计算出d1。为了简化计算,用D+δ-d0代替D+δ-d1计算,则式(2)可简化为 |
|
|
|
 |
(3) |
|
|
|
简化后计算出的d1值有一定的误差,将d1再回归到式(3)中计算,求出d2,即 |
|
|
|
 |
(4) |
|
|
|
式中 d2——拉伸后的密封圈断面直径,mm。 |
|
|
|
如此类推,可计算出d3、d4……,一般来说,d2值就已达到要求,则密封圈槽底径D1为 |
|
|
|
D1=D+δ-2d2 (5) |
|
|
|
现举例说明以上计算,如Y341—148注水封隔器活塞孔、轴尺寸为136H9/d9(孔为136
+0.10mm),所选密封圈为135mm×5mm,过盈量δ选为1.3mm,则变形后的密封圈断面直径为 |
|
|
|
 |
|
|
|
 |
|
|
|
取d2=4.96mm,则
D1=D+δ-2d2=127.38mm |
|
|
|
结合孔径 配上公差后,则槽底径D1为 。 |
|
|
|
假定没有135mm×5mm的密封圈,只有132mm×5mm的密封圈,则密封圈槽底径可用同样方法算得,即配上公差后D1为 。 |
|
|
|
由以上计算可知,根据不同的密封圈,可以计算出不同的密封圈槽尺寸,可见这种方法比较简单、灵活。但是为保证密封长期有效地工作,还必须合理选择其压缩率、拉伸量和孔轴配合精度等相关参数。 |
|
|
|
|
|
|
|
相关参数的确定与应用 |
|
|
|
1.压缩率ε或过盈量δ |
|
|
|
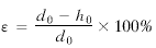
密封圈是典型的挤压型密封。如图3所示,其压缩率ε通常由下式表示 |
|
|
|
 |
|
|
|
式中 h0——密封圈槽底至被密封面的距离,mm。 |
|
|
|
 |
|
|
|
图3 密封圈压缩率 |
|
|
|
对于圆柱面静密封和往复动密封,ε=10%~15%;对于平面静密封,ε=15%~30%;旋转动密封ε=3%~8%;低摩擦密封ε=5%~8%。 |
|
|
|
选取密封圈压缩率时主要应考虑的因素,一是要有足够的密封面接触压力;二是摩擦力应尽量小;三是应尽量避免永久性变形。 |
|
|
|
与压缩率ε相对应的是过盈量δ,过盈量δ表示密封圈的预压缩情况,其推荐值见表1。 |
|
|
|
表1 基本尺寸与过盈量关系推荐值
mm |
|
|
|
|
孔直径D尺寸范围 |
过盈量δ |
|
动密封 |
静密封 |
|
<30 |
0.25~0.33 |
0.3~0.4 |
|
30~50 |
0.35~0.50 |
0.4~0.6 |
|
50~80 |
0.50~0.70 |
0.6~0.8 |
|
80~120 |
0.70~1.00 |
0.8~1.2 |
|
>120 |
1.00~1.40 |
1.2~1.6 |
|
|
|
|
注:井下工具用密封圈多为静密封,δ值应从静密封栏中选取。 |
|
|
|
2.拉伸量 |
|
|
|
密封圈装入密封圈槽后,一般都会有一定的拉伸量。但据所查阅的资料可知,尚未对拉伸量有明确的定义。根据笔者的理解,拉伸量应是拉伸后的密封圈中径与自然状态时的中径之比,即
|
|
|
|
a=(D1+d2)/(D0-d0) (6) |
|
|
|
式中 a——密封圈的拉伸量,mm。 |
|
|
|
a的通常推荐值为1.01~1.05。笔者一般取值为1.05,特殊情况下,甚至取为1.1。为了保证密封圈装入密封圈槽后不至太松,a值取得稍大。 |
|
|
|
3.密封圈槽的宽度与形状 |
|
|
|
一般推荐的密封圈槽尺寸见表2,其形状如图4所示。槽宽大致为密封圈断面直径的1.3倍,而平时设计中往往是密封圈槽宽度与密封圈断面直径相等,或者不论密封圈断面直径多大,密封圈比槽宽0.5mm。采用这种尺寸设计的弊端是:(1)用起子或铁钎撬密封圈时,容易损坏密封圈槽,尤其是内密封圈槽,这将降低其耐压差能力;(2)孔、轴相套时,由于密封圈有预过盈量,槽太窄易剪切密封圈。因此,今后在设计密封圈槽宽时应规范尺寸。在加工r为0.1~0.2和R为0.2~0.5的圆弧时,要特别注意r处,如果太尖,在承受高压时易损坏密封圈,需用砂布将其稍稍打钝。 |
|
|
|
表2 密封圈槽的尺寸
mm |
|
|
|
|
密封圈断面直径d0 |
槽宽B |
R |
r |
|
1.9 |
2.5 |
0.2 |
0.1 |
|
2.4 |
3.2 |
0.2 |
0.1 |
|
3.1 |
4 |
0.3 |
0.1 |
|
3.5 |
4.5 |
0.3 |
0.1 |
|
4.6 |
6.1 |
0.4 |
0.2 |
|
5.7 |
7.5 |
0.4 |
0.2 |
|
8.6 |
11 |
0.5 |
0.2 |
|
|
|
|
|
|
|
|
 |
|
|
|
图4 密封圈槽的标准形状 |
|
|
|
4.轴孔配合公差 |
|
|
|
在承受大于16MPa以上压差时,孔、轴配合一般推荐为H8/f8或H8/f7,在承受高压情况下,还要安装密封挡环[1]。而井下工具工作压力一般超过16MPa,所用孔、轴配合常常采用H9/d9、H10/d10、H10/c10,甚至H11/c11,一方面精度等级较低,另一方面轴、孔间隙太大。这就要求密封圈的过盈量也要大。如Y241—150酸化压裂封隔器的轴、孔配合采用H8/e8,Y341—148堵水封隔器采用H9/d9,轴、孔基本尺寸相同的酸化压裂封隔器密封圈的过盈量比堵水封隔器的小,密封效果就好。 |
|
|
|
相同精度等级轴、孔的配合间隙不同,其受力状况是有区别的,如H10/c10的轴、孔间隙比H10/d10大,密封圈在相同压力p1作用下,其受剪切力的面积大,则总作用力就大,密封圈损坏的可能性加大,但如果轴、孔间隙过小,则轴、孔的同轴度要求更高,加工难度增大。 |
|
|
|
如果片面追求高精度,势必增加加工难度和成本。考虑到试制车间的加工水平及井下工具的实际工作状况(主要是静密封),笔者建议密封圈密封面的轴、孔配合应优先选用H8/e8,在使用要求不高的情况下,也可选用H9/e9。 |
|
|
|
5.橡胶硬度 |
|
|
|
在工作压力8~16MPa范围内,橡胶推荐硬度为70~80HS;16~32MPa范围内,推荐硬度为80~90HS。应加强密封圈进货质量检验。 |
|
|
|
|
|
|
|
建议 |
|
|
|
(1)
密封圈槽的尺寸和形状应规范设计,不可随心所欲。 |
|
|
|
(2)
为保证密封圈长期有效地工作,必须合理选择压缩率(或过盈量)、拉伸量和孔轴配合精度等。 |
|
|
|
(3)
密封圈及密封圈槽的选配可由计算求得。 |
|
|
|
|
【打印此页】
【返回目录】
【关闭此页】 |
|
|